高壓放大器在電子束增材制造聚焦消像散控制技術研究的應用
實驗名稱:高壓放大器在電子束增材制造聚焦消像散控制技術研究的應用
研究方向:增材制造
實驗目的:
電子束選區熔化技術,即電子束3D打印技術,屬于金屬增材制造的分支。該技術以電子束為熱源,在計算機控制下以預設軌跡掃描融化粉末,逐層堆疊,形成致密的三維零件。該技術可以制造醫用金屬多孔結構,如人造關節,并可根據計算機模型方便地調節孔形貌、孔結構等參數,與人骨力學性能匹配。為保證多孔結構制作的高精度要求,電子束需要在整個加工范圍內保持足夠的熱功率密度,即在固定加速電壓的情況下,保持小束徑。但由于電子光學像差的影響,束斑直徑通常隨著偏轉角度的增大而增大,同時形狀逐漸改變,這可能導致大尺寸工件加工精度下降問題,同時產生夾渣和氣孔現象,因此需要調節束斑質量。
測試設備:上位機、A/D、D/A轉換器,ATA-4315高壓放大器、燈絲、對中線圈、消像散線圈、主聚焦線圈、輔助聚焦線圈、偏轉線圈、板材箱、基板、升降臺、二次電子探測板等。

圖:電子束增材制造設備控制系統
實驗過程:
電子束3D打印設備光柱體及控制系統結構如上圖所示。所使用的線圈均為磁線圈。電子束由燈絲引出,在各線圈的磁場作用下,聚焦、偏轉,最終會聚于工件表面。其中,主聚焦線圈電感較大,采用恒流源進行控制。動態調節部分由電感小得多的空心輔助聚焦線圈完成,控制器接受上位機的指令,控制電子束按預設軌跡掃描,在改變電子束位置的同時,查詢聚焦消像散校正表,動態調節通入輔助聚焦線圈、消像散線圈的電流,達到動態聚焦、消像散的目的。二次電子探測板收集反射電子,用以成像,其圖像清晰度可以反映束板的質量。
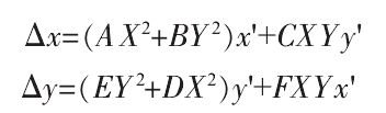
在電子光學領域,像差理論常用于分析電子在電場和磁場中的運動軌跡,實際運動軌跡和高斯軌跡的偏差,即為像差,按照類別可分為球差、慧差、場曲(散焦)、像散、畸變、色差。實際上,3D打印設備的電子束都在百微米量級,應考慮散焦和像散等對束徑影響較大的低階像差。散焦和像散的表達式如下:

圖:散焦和像散的表達式
由此式可知,散焦和像散受到偏轉距離和方向的影響,無偏轉時,沒有散焦和像散,此時束斑質量最佳,當電子束偏轉時,散焦和像散大小隨偏轉位置而改變。因此需要對不同位置的電子束進行校正。
實驗結果:

圖:實驗對比圖像
(1)采用動態聚焦、消像散控制技術能夠有效地提高束斑質量,校準后,電子束增材制造設備可以實現12°以內清晰成像,成功將圖像EOG值由0.81提高至1。大偏轉角下,電子束受到像散像差的影響,形狀發生畸變,因此電子圖像會在某一方向獲得很高的分辨率,但在其他方向上較為模糊。消像散之后,電子圖像各方向清晰度一致,束斑形狀得到改善。
(2)動態聚焦無法有效改善束斑形狀,但可以減小束斑直徑,增強電子圖像某一方向的清晰度。

圖:ATA-4315高壓放大器指標參數
本文實驗素材由西安安泰電子整理發布。Aigtek已經成為在業界擁有廣泛產品線,且具有相當規模的儀器設備供應商,樣機都支持免費試用。西安安泰電子是專業從事功率放大器、高壓放大器、功率信號源、前置微小信號放大器、高精度電壓源、高精度電流源等電子測量儀器研發、生產和銷售的高科技企業。公司致力于功率放大器、功率信號源、計量校準源等產品為核心的相關行業測試解決方案的研究,為用戶提供具有競爭力的測試方案,Aigtek已經成為在業界擁有廣泛產品線,且具有相當規模的儀器設備供應商,樣機都支持免費試用。如想了解更多功率放大器等產品,請持續關注安泰電子官網m.wj539.com或撥打029-88865020。
原文鏈接:http://m.wj539.com/news/488.html


























