高壓放大器在油紙絕緣介電響應的非線性特性研究中的應用
實驗名稱:變壓器油紙絕緣介電響應的非線性特性及其時―頻域轉換方法研究
研究方向:介電響應、非線性特性
實驗原理:時域和頻域介電響應測試,最重要的便是激勵電壓的發生以及響應電流的采集,要保證輸入輸出波形的準確性、不失真,并確定有效信號不被環境中電磁干擾所掩蓋。
測試設備:數據采集卡、ATA-7030高壓放大器、微弱電流前置放大器,調檔通訊控制電路
實驗過程:
利用LabVIEW測試程序輸出數字波形經數模轉換得到模型波形,將模擬激勵電壓信號經高壓放大器放大并施加到待測絕緣,對獲得的電流信號經有效放大和濾波后,將電壓和電流信號同步采集通過模數轉換到電腦,并在LabVIEW中進行介電響應參數的計算基本工作原理。

圖:測試系統原理圖
實驗結果:
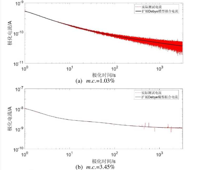
首先測試了不同受潮程度油紙絕緣的極化電流。在極化電流測試中,根據目標轉換最低頻率為1mHz,設置測試時間為3201s。由于油紙絕緣在宏觀上表現為容性系統,響應電流會在施加階躍電壓瞬間產生沖擊效應,該段數據不表現油紙絕緣的極化特性,因此將部分采樣數據剔除。為了保證采樣精度,采樣過程以1000Hz的采樣率對激勵電壓和響應電流信號進行同步采樣,但在如此長的采樣時間下采用過高的采樣率會導致采樣數據過于龐大,不利于計算,因此需要以0。01Hz的采樣率對采樣數據重采樣,獲得最終采樣結果,不同受潮程度油紙絕緣3200s,共320000點的極化電流測試結果繪制,如下圖所示。

圖:極化電流測試結果
安泰ATA-7030高壓放大器:

圖:ATA-7030高壓放大器的指標參數
本文實驗素材由西安安泰電子整理發布,Aigtek已經成為在業界擁有廣泛產品線,且具有相當規模的儀器設備供應商,樣機都支持免費試用。如想了解更多實驗方案,請持續關注安泰電子官網www.aigtek.com或撥打029-88865020。西安安泰電子是專業從事功率放大器、高壓放大器、功率信號源、前置微小信號放大器、高精度電壓源、高精度電流源等電子測量儀器研發、生產和銷售的高科技企業。
原文鏈接:http://m.wj539.com/news/477.html


























